Новини проекту
Новий навчальний рік!
Спільноті адміністраторів сайтів шкіл та ліцеїв!
Новий навчальний рік!
Найзахопливіші детективи для підлітка
Wizeclub Education: курси додаткової освіти в Україні
Що робити, якщо болить поперек
Онлайн академія Mate academy – від мрії потрапити в IT до першої роботи
Мобільні додатки для підтримки організації навчання та співпраці в освітньому процесі
Школа англійської для дітей: важливість навчання та як вибрати кращу школу
Хто такий Зевс?
Вивчаємо англійську за допомогою читання
Благодійність та соціальна відповідальність бізнесу
Як обрати надувний басейн?
Як створити і розкрутити групу у Фейсбуці без блокування
Практичні рекомендації по вибору школи англійської мови
Options for checking articles and other texts for uniqueness
Різниця між Lightning та USB Type-C: одна з відмінностей iPhone
Столична Ювелірна Фабрика
Відеоспостереження у школі: як захистити своїх дітей?
Чим привабливий новий Айфон 14?
Розширений пакет за акційною ціною!
iPhone 11 128 GB White
Програмування мовою Java для дітей — як батьки можуть допомогти в навчанні
Нюанси пошуку репетитора з англійської мови
Плюси та мінуси вивчення англійської по Скайпу
Роздруківка журналів
Either work or music: 5 myths about musicians and work
На лижі за кордон. Зимові тури в Закопане
Яку перевагу мають онлайн дошки оголошень?
Огляд смартфону Самсунг А53: що пропонує південнокорейський субфлагман
БЕЗПЕКА В ІНТЕРНЕТІ
Вітаємо з Днем Вчителя!
Портал E-schools відновлює роботу
Канікули 2022
Підписано меморандум з Мінцифрою!
Голосування
Чи вакцинувалися ви від Covid?
Всього 6 чоловік

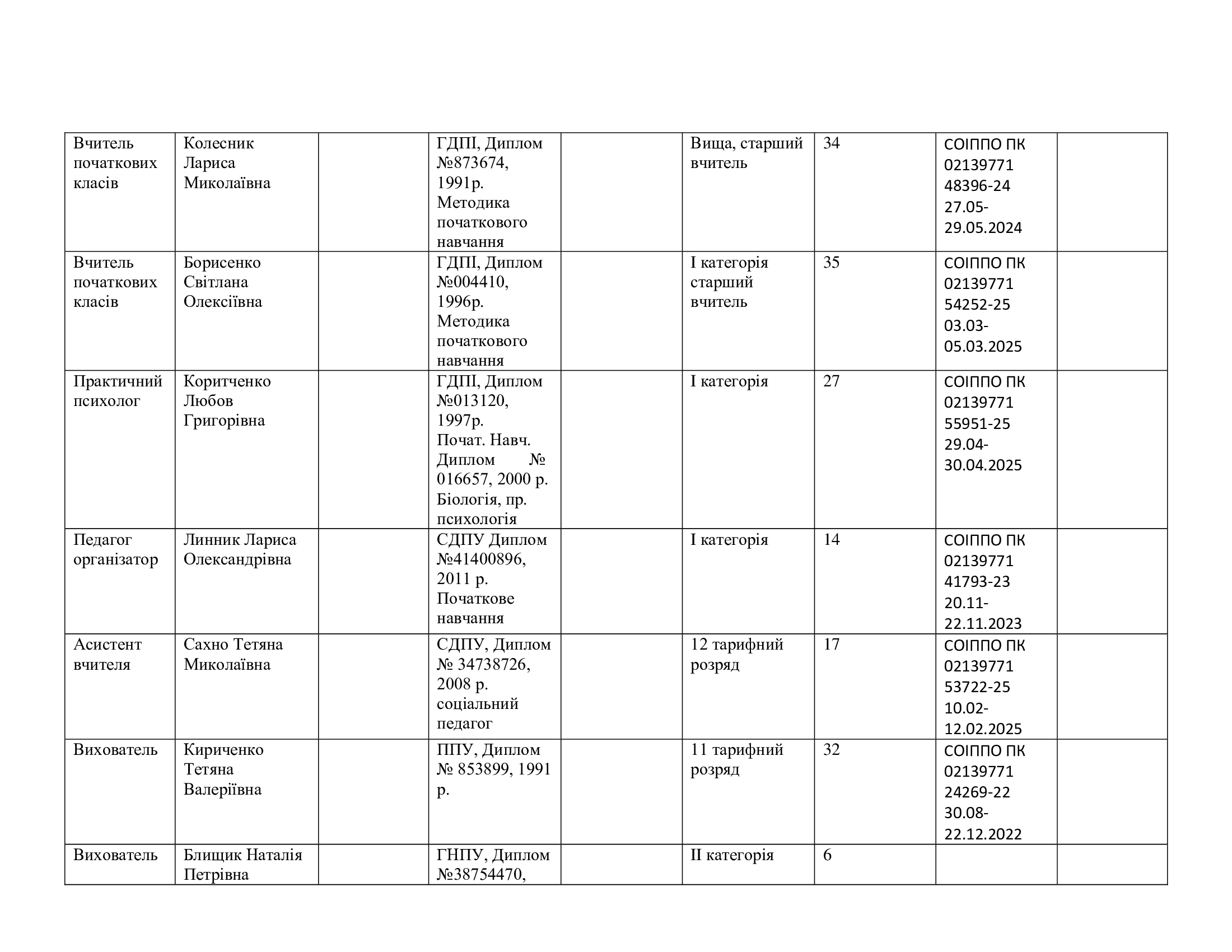
Кадровий склад

Дата: 3 лютого 2020 о 20:50, Оновлено 9 жовтня о 14:42

Коментарі:
Залишати коментарі можуть тільки авторизовані відвідувачі.